
金屬管浮子流量計流量換算與計算公式
金屬管浮子流量計用于連續測量封閉管道中液體和氣體的體積流量,結構簡單、工作可靠、使用維護方便,能適應各種場合,因此廣泛地應用于流量測量和工業過程控制中。
流量計由傳感器和指示器組成,除就地指示瞬時流量外,還可遠傳輸出4~20mADC電信號,整體采用模塊式組合設計,可在現場快速增加上下限開關 、流量累積功能 ,各功能單元板為插裝結構,具有更換部件簡單、方便、定位準確的特點。
1 為什么要進行流量換算
制造廠家是用水或空氣來進行浮子流量計的標定的。由于實際應用時介質的狀態和標定時不同,根據測量原理,浮子在測量管中的同一位置所代表的流量值和標定時是不同的,要想正確選擇流量計的規格、現場使用好儀表,就要知道它們之間的流量換算關系。
另外浮子流量計行業標準規定其精度是相對于滿量程而言的,所以用戶使用時,其常用流量應達到滿量程的60%~80%以上較為合理,如果用在50%以下則相對誤差會增大,精度受影響,如果流量超過滿量程更是無法正常測量,因此只有正確進行流量換算才能選出適合的儀表。
2 換算的依據
換算的依據主要有兩個:浮子流量計的理論計算公式和理想氣體的狀態方程。
浮子流量計的計算公式
(1)
式中:Q——體積流量
a——流量系數
Fk——浮子最大直徑與其同高度錐管橫截面之間的環隙面積
g——重力加速度
Vf——浮子的體積
ρf——浮子的密度
ρ——被測流體的密度
A——浮子的最大截面積(式中的單位為cm、g、s制)
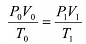
理想氣體的狀態方程
(2)
式中:P0,P1——兩種狀態下的絕對壓力
T0,T1——兩種狀態下的絕對溫度
V0,V1——兩種狀態下的體積從理想氣體的狀態方程可以演繹出以下兩種關系 :
a流量關系
(3)
B密度關系
(4)
式中:M——介質的質量
ρ——介質的密度
Q——介質的流量
3 流量換算公式
流量計測量不同介質時流量之間的關系如下式:
從式中可以看到浮子流量計流量換算的實質是密度換算。
3.1 液體的測量和換算
流量計用于液體流量測量時,制造廠是用常溫下清潔的水作為校驗液來標定的,若被測介質的密度與水的密度不同,應對被測介質的流量進行換算。公式如下:
(6)
式中:Q1——被測介質的實際流量
Q0——換算成水的流量
Kp——體積流量的密度修正系數
ρf——浮子部件的密度:7900kg/m3
ρ0—— 20℃時水的密度:998.2kg/m3
ρ1——被測介質的密度:kg/m3
3.2 氣體的測量和換算
流量計用于氣體流量測量時,制造廠是用標準狀況下(20℃、101.325kPa)的空氣進行標定的,由于氣體的密度遠小于浮子密度, 公式( 5 ) 簡化為:
(7)
式中各項均為工作狀態下的值,為方便起見應換算到標準狀態下,將公式(3)和(4)代入并整理后便得到氣體的換算公式
(8)
式中:Q1——被測氣體工作狀況下的流量換算到標準狀態下的流量(Nm3/h)
Q0——換算成標準狀態下空氣的流量(Nm3/h)
ρ1——標準狀態下被測氣體的密度(kg/m3)
ρ0——標準狀態下空氣的密度:(1.205kg/m3)
P1——被測氣體工作狀況下的絕對壓力(表壓+大氣壓)MPa
P0——標準狀態時的壓力(0.101325MPa )
T1——被測氣體工作狀況下的開爾文溫度
T0——標準狀態時的開爾文溫度(293.15K)
Kρ——氣體的密度修正系數
Kp——氣體的壓力修正系數
KT——氣體的溫度修正系數
4 應用實例
儀表選型的實質就是求出換算流量Q0,再根據流量規格選出合適的儀表型號。
例題1用戶的被測介質為二氯丙烷,密度1130kg/m3,流量上限為10001/h,如何選型?
解:換算流量
×1000=1074.31/h
因此用DN25口徑的浮子流量計進行測量比較合適。
例題 2用戶的被測介質為乙炔(密度為1.091kg/Nm3),壓力為3kgf/cm2,溫度為25℃,流量上限為10m3/h時,如何選型?
解:被測氣體的絕對壓力p1=3×98.1+101.325=395.625kPa
標準狀況下的流量
×10=38.39Nm3/h
換算流量
×38.39=18.64Nm3/h
因此用DN15口徑的浮子流量計進行測量比較合適。
5 結語
金屬管浮子流量計作為過程控制儀表,可以適應高溫、高壓、強腐蝕、劇毒等多種苛刻環境,可動部件少、便于維護,解決了生產中的許多難題。金屬管浮子流量計以其卓越的性能被越來越多的用戶所青睞。而熟練掌握浮子流量計的流量換算對正確選表和用表至關重要。因此了解浮子流量計的性能特點和儀表選型的方法,才能正確選擇性能和價格比較高的類型。
上一篇:威力巴流量計安全使用說明書
下一篇:差壓變送器的工作原理與應用
版權所有 Copyright(©)2009-2011 江蘇力科儀表有限公司
電話號碼:0517-86909222 商務熱線:15305232668 傳真:0517-86909221
地址:江蘇省金湖縣工業園
技術支持:易品網站建設專家 蘇ICP備13047422號-2