
蒸汽流量計的測量原理與計算公式
蒸汽流量計原理和選擇方發,漩渦流量計只能單向測量,安置時過細包管介質流量偏向與流量計箭頭所示偏向一。漩渦流量計最佳安置要領為豎直安置,介質自下而上議決流計。即將流量計安置在豎直管道上,流量偏向為自下向上。水寧靜裝時,必須將流量計裝在整個體系的高壓區,并包管相應的出口壓力;不要安置在管路的最高點,因最高點每每氣體積累,管道非滿,出口不行直接放空。測高溫流體時,只管即便接納豎直安置要領;若不得不水寧靜裝,請將流量計的變送器部門豎直向下,或水平側裝,克制溫度過高;過細安置位置處氛圍流動或通風良好。直管段要求:至少包管流量計前15倍管徑,流量計后5倍管徑。如流量計前有彎頭,縮進,擴大等滋擾源,則需包管流量計前30–40倍的管徑。
(1)流量計本體最好選區用316不銹鋼資料以防腐,如是防爆區還必需是防爆結果。
(2)軸承淺近有炭化鎢,聚四氟乙烯,碳石墨三種規格:碳化鎢的精度最高,它作為工業控制的范例件;聚四氟乙烯,碳石墨能防腐,淺近在化工廠所優先思考。軸承的壽命流速的平方成正反比,故流速最好的在最大流速的1/3速度比擬好。
(3)感到探頭是檢測篡改體的活動并把它轉化孔板流量計為脈沖數字電旌旗暗號,它電磁線圈電壓輸出值靠近正弦曲線,脈沖旌旗暗號的頻率范圍隨測量的流量巨細成線性篡改,典范的范圍為10:1,25:1 和100:1三種規格。電磁線圈的電阻淺近小于2000Ω,大于該值可以破壞。
在蒸汽流量計量中,最常用的流量計是差壓式流量計和渦街流量計。
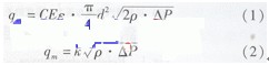
差壓式流量計的理論依據是伯努利方程和流動連續性方程。當流體流經節流裝置,使部分壓力能轉換為動能,產生差壓信號,而這一差壓與流量的平方成正比,其數學模型為:

式中:qm為蒸汽質量流量,T/h; C為流出系數;ε為可膨脹性系數;d為節流件孔徑,m; ρ為節流件蒸汽密度,kg/m3;△P為節流件上下游差壓,Pa;E為漸近速度系數。
渦街流量計的理論依據是流體振蕩原理。流體在管道中經過渦街流量變送器時,在三角柱的旋渦發生體后上下交替,產生正比于流速的兩列旋渦,旋渦的釋放頻率與流過旋渦發生體的流體平均速度及旋渦發生體特征寬度有關,可用以下公式表示:
式中:f為旋渦的釋放頻率,Hz;k為流量系數,l/L; ρ為蒸汽密度,kg/m3;ν為流過旋渦發生體的流體平均速度,m/s; d為旋渦發生體特征寬度,m;St為斯特羅哈數,無量綱,當雷諾數Re在102~105范圍內,St值約為0.2。
從式(2)和式(4)可以看出,蒸汽質量流量與蒸汽密度直接相關。因此,必須對流量計進行溫度(Pt100鉑電阻)或者壓力(壓力變送器)補償,可顯示飽和蒸汽的瞬時質量流量、累計流量以及溫度、壓力。Pt100鉑電阻測量得到的介質溫度信號和壓力變送器測量得到的介質壓力信號作為密度補償信號,渦街流量計對蒸汽流量進行密度修正。對飽和蒸汽,蒸汽密度ρ只與壓力P有關,即ρ=ρ(p);而對于過熱蒸汽,蒸汽密度ρ與壓力P的關系和溫度T有關,即ρ=ρ(p,T)。
在現代化生產過程中我們常常會遇到需要對過熱蒸汽、飽和蒸汽流量進行測量,那么在選擇使用什么樣的流量計時,我們就會根據測量的流量大小、測量蒸汽的溫度、壓力,從而在客戶給的技術參數中計算出其需要配置何等的蒸汽流量表。那么有時候客戶要通過流量范圍讓我們生產廠家分析其產品的口徑時,那么我們就要根據實際流量,查閱流量表來給客戶選擇合適的口徑,以達到測量的準確度。
在選擇正確的蒸汽流量計時,同時也要抱有對客戶負責的原則,無論客戶的什么工況條件我們都必須認真的面對每一個環節,比如正確的流量大小、測量溫度壓力等,讓客戶感覺到我們是一個可以相信的廠家,那么蒸汽流量的計算公式是什么呢?
蒸汽流量計的理論流量方程為:

式中,qf為工況下的體積流量,m3/s;D為表體通徑,mm;M為旋渦發生體兩側弓形面積與管道橫截面積之比;d為旋渦發生體迎流面寬度,mm;f為旋渦的發生頻率,Hz;Sr為斯特勞哈爾數,無量綱。渦街式蒸汽流量計計的六個主要特點如下:
1、渦街式蒸汽流量計計的流量范圍度大、最小流量值低、不需要現場調試。
2、具有完整的通徑系統,共有20個不同通徑的傳感器。
3、渦街式蒸汽流量計計結構簡單,無運動可磨損部件,使用壽命長。
4、渦街式蒸汽流量計計測量精度高,生產阻力損失小。
5、渦街式蒸汽流量計計安裝方便,維修量小。
6、可實現遠距離傳輸流量信號,可進行集中管理。
本文來源:http://m.ccecv.com/,如有疑問請撥打我們的24小時服務熱線0517-86909222.
上一篇:大口徑熱量表標準裝置比對
下一篇:超聲波流量計的測量原理與計算公式
版權所有 Copyright(©)2009-2011 江蘇力科儀表有限公司
電話號碼:0517-86909222 商務熱線:15305232668 傳真:0517-86909221
地址:江蘇省金湖縣工業園
技術支持:易品網站建設專家 蘇ICP備13047422號-2